아이 성장장애의 원인은 무엇일까?
안녕하세요. 해군 군의관입니다. 오늘은 '아이 성장장애의 원인은 무엇일까?'에 대해 이야기해보려고 합니다.
아이의 키 성장은 부모님들의 가장 큰 관심사 중에 하나이실텐데요. 아이의 키가 잘 자라지 않을 경우 부모님들의 걱정이 많으실 것 같습니다.
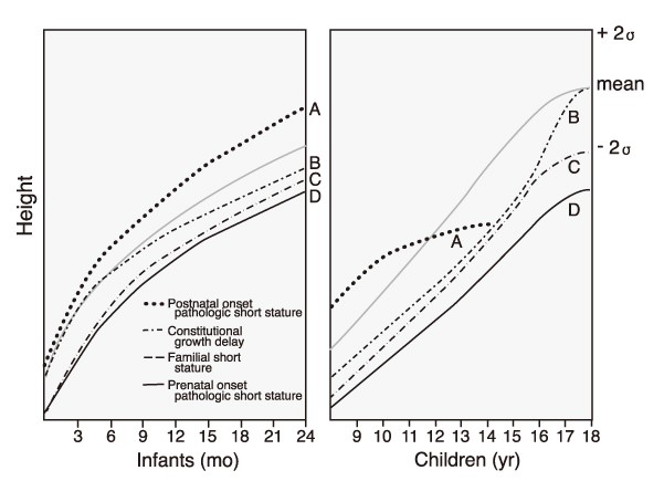
아이 키의 정상 범위는 3~97백분위수 혹은 ±2SD(2표준편차) 사이입니다. 성장 장애가 있는 소아에서 나타나는 네 종류의 특징적인 성장 유형은 아래와 같습니다.

| 성장 유형 | 특징 | 관련 질환 |
| 유형 A | 출생 후 원인에 의해 성장이 멈춰버린 경우 | |
| 유형 B | 키와 체중이 출생 시에는 정상 -> 1세 말에 성장 속도가 저하되어 표준 이하 -> 성장 곡선의 하단을 따라 성장 -> 사춘기 말기에 급속 성장 -> 정상체중/키 - 유전적 : 가족력 존재 - 2차 성징 출현 지연, 골연령이 역연령에 비해 지연 | 체질성 성장 지연 |
| 유형 C | 소아, 부모 모두 작다. 정상범위의 바로 아래 수준에서 정상 성장 곡선에 평행 | 가족성 저신장 |
| 유형 D | 선천성 원인에 의한 저신장 - 출생시부터 작다. - 출생후에는 점차 해당 연령의 평균치보다 더욱 뒤쳐진다. | 염색체 이상(터너증후군, 다운증후군), 만성 자궁내 감염(TORCH), 약물복용, 심한 미숙아 |
| 유형 | 원인 |
| 신장, 두위에 비해 체중이 저하된 경우 | 열량 섭취 부족, 신진대사의 증가 |
| 두위에 비해 체중, 신장이 저하된 경우 | 선천성 골격계 이영양증, 성염색체 이상(터너 증후군), 내분비계 이상, 유전성 저신장, 체질적 발육지연 |
| 체중, 신장, 두위가 모두 저하된 경우 | 자궁 내 손상, 유전적 상염색체 이상 |
| 원인에 따라 체중 -> 신장 -> 두위가 영향을 받는다. 편하게 1~3단계라고 생각하면, 1. 1단계 : 못먹거나 대사항진 2. 2단계 : 여러가지 이유(다른 경우가 아니면 여기에 해당) 3. 3단계 : 자궁 내에서 태어나기 전부터 손상 받거나, 유전적 이상이 있는 경우 가장 심한 결과를 초래 |
유형 A는 출생 후 병적인 원인으로 성장 저하가 유발된 소아로 2세 이후 유전적으로 정해진 백분위수 곡선을 따라가며 자라다가 자신이 지켜오던 백분위수 곡선을 이탈하여 밑으로 쳐지는 성장 양상을 보입니다.
유형 B는 체질성 성장지연(Constitutional growth delay, CGD)로 현재 나이(역연령, chronologic age)에 비하여 뼈나이(골연령, bone age)가 지연되어 발생하는 현상으로 정상 변이(normal variant)이며 일반적으로 사춘기 지연이 동반됩니다.
출생 시 키와 체중은 정상이나 영아기 말에 키와 체중 성장곡선이 하향하기 시작합니다. 이후 표준성장곡선의 정상범위 하단을 따라 성장하다가 사춘기 말기에 급속 성장이 나타나 정상 키와 체중의 성인으로 되는 성장 양상을 보입니다.
유형 C는 가족성 저신장(familial short stature)으로 출생 시 일반적으로 키가 작으며 정상 크기로 태어났더라도 생후 618개월 사이에 5백분위수 미만으로 감소한 후, 23세 이후부터 정상 성장 속도(5cm/년 이상)를 유지합니다.
소아와 부모가 모두 작고, 소아는 자신의 고유한 성장 곡선을 따라 성장하는데, 정상범위의 바로 아래 수준에서 정상 성장 곡선에 평행하는 성장유형을 보입니다. 따라서 항상 또래보다 키가 작은 백분위수에 있게 됩니다.
유형 D는 선천성 원인 때문에 병적으로 작은 소아로 출생 시부터 작으며, 출생 후에도 점차 해당 연령의 평균치에서 더 멀리 떨어지게 됩니다. 터너 증후군이나 다운 증후군 등의 염색체 이상, 만성 자궁 내 감 염, 약물 복용(페니토인, 알코올) 및 심한 미숙아 등이 해당됩니다.
아래의 다섯 항목 중에 해당되는 소아는 정밀 검사나 전문적인 진료를 받도록 하기 위해 소아내분비 진료가 가능한 의료기관으로 전원할 필요가 있습니다.
| 1. 키: 3백분위수 미만이거나 97백분위수 이상인 경우 2. 성장 속도: 연령에 비하여 과다하거나 혹은 과소한 성장 속도를 보이는 경우 3. 유전적 잠재력: 예측되는 최종 성인키가 중간 부모키 보다 5 cm 이상 차이가 날 경우 4. 뼈 나이: 평균에서 2 표준편차 이상 늦거나 빠른 경우 5. 증후군 혹은 이상 형태: 안면 형태 이상, 중심부 결손, 신체 비율의 이상 |
하지만 실제로 키가 작아서 의사를 찾는 소아는 가족성 저신장이나 체질성 성장지연에 의한 경우가 대부분이므로 특별한 검사가 필요한 증례는 드뭅니다.
성장에 문제가 있는 소아에게는 다양한 진단 가능성이 있으나 자세한 병력 조사와 이학적 진찰에 이어서 정확하게 계측한 성장 지표들을 성장 도표에 정확하게 표시하여 분석하면 소아의 성장 상태를 잘 평가할 수 있고, 대부분의 성장 이상을 감별하거나 진단할 수 있습니다. 따라서 성장이 염려된다고 일차진료 시에 처음부터 여러 복잡한 검사를 할 필요는 없습니다.
지금까지 '아이 성장장애의 원인은 무엇일까?'에 대해서 간단하게 알아보았는데요. 아무쪼록 이 글을 통해서 아이를 키우는 부모님들이 아이의 성장에 대해 정확한 인식을 가지고 올바른 치료를 받으셨으면 좋겠습니다. 감사합니다.